Haute de page




Transmission et propagation de la chaleur

Découvrez nos logiciels


Calambda Choix énergie Caldeau CapteSol SpeeDeperd ClimAperd Réseauxion RapidConso Aquaxion

Sélectionner un autre dossier



Transmission et propagation de la chaleur




Définition des flux de chaleur

On appelle flux de chaleur traversant une surface donnée la quantité de chaleur qui s'écoule, pendant l'unité de temps.
La chaleur se déplace du corps le plus chaud au plus froid jusqu'à ce que la température s'équilibre.
Tout les corps (solide, liquide ou gazeux) subissent ce phénomène d'échange de chaleur.
L'utilisation de matériaux isolants ou d'un matériau conducteur permet d'intervenir sur l'intensité de la chaleur transmise.
Le premier ralenti le passage de la chaleur, le second le facilite.
La chaleur se transmet par conduction, rayonnement ou convection.
Ces modes d'échange sont bien souvent cumulés.
L'unité de mesure légale de la chaleur est le Watt (W).

Isolation thermique loi flux chaleur


La conduction ou conductibilité

La chaleur se transmet sans déplacement de matière, par contact moléculaire entre un ou plusieurs corps qui se touchent.
Il suffit de chauffer l'extrémité d'un cylindre de métal pour que la chaleur s'y propage.
Exemple: un cylindre de métal isolé.

Isolation thermique la convection

On chauffe l'une des extrémités d'un cylindre de métal à une température T1, l'autre extrémité étant en contact avec de l'eau dans un récipient à une température T2.
Le flux de chaleur transmis peut se quantifier:
- proportionnellement à la surface: S
- proportionnellement à la différence de température T1 - T2, inversement proportionnel à la longueur du cylindre de métal e

Ou:
- Φ= est le flux de chaleur (W)
- λ= est la conductibilité thermique (lambda) (W/m.K)
- T1 et T2 température de part et d'autre du cylindre (°C)
- e est l'épaisseur (mètre)
- S est la section (m²)

Quelques lambda de matériaux (λ)
Cuivre 386 / fer 70 / pierre dure 2.2 / pierre tendre 1.0 / bois 0.15 à 0.25 / air 0.025 / eau 0.6


La convection

Définition: Transmission de chaleur dans un milieu fluide (liquide ou gaz) par déplacement des particules (molécules ou amas de molécules).
Contrairement aux principes de la conduction et des rayonnement, la convection induit un déplacement de la matière.
Si la convection est naturelle, les parties les plus chaudes du fluide montent et créent des moments de convection dans ce dernier, c'est le principe du radiateur dans une pièce, à son contact l'air de la pièce s'échauffe et s'élève.
Si la convection est forcée, l'échange de chaleur est accéléré car le fluide est poussé mécaniquement contre le solide.
C'est le cas des circuits à air ou un ventilateur souffle l'air de la pièce contre les éléments chauffant.

Exemple: pour une une paroi.

Isolation thermique la convection

Quantité de flux de chaleur transmis par convection: Φ (W).
Soit une paroi de S m² qui se trouve à une température T2, l'air qui se trouve en son contact est à une température T1 supérieure. Le flux de chaleur transmis par l'air à la paroi peut se quantifier:
- proportionnel à la surface S
- proportionnel à la différence de température T1 - T2

ou
- Φ= est le flux de chaleur transmis (W/m²)
- α = est le coefficient de convection (W/m².°C)
- T1 et T2 sont les températures de paroi(°C)
- S la surface de la paroi (m²)

α étant le coefficient de proportionnalité, on l'appellera coefficient de convection, il s'exprime en W/m².°C.
Le coefficient α représente donc le nombre de Watts qui sont reçus par une surface de 1m² pour une différence de température entre la surface et l'air de 1 °C.
α dépend de la nature de la paroi, mais surtout de la vitesse avec laquelle l'air la "lèche".

Pour l'air calme dans une pièce fermée α est compris entre 4 et 6, il est égal à 4 au contact du corps humain.
Si l'air est en mouvement, à une vitesse qui dépasse pas 10m/s, α = 15vitesse.
A l'extérieur la vitesse de l'air est en moyenne 0.9 m/s, et α: = 12 W/m².°C.


Le rayonnement

Définition : Transmission directe de la chaleur par envoi de radiations d'un corps chaud sur un corps froid.
Tous les corps émettent de l'énergie sous forme d'ondes électromagnétiques. Lorsque deux corps sont en présence, cette énergie rayonnante devient chaleur, chaque corps absorbe une partie de l'énergie rayonner par l'autre, une partie est réfléchie et une troisième peut traverser le corps si celui-ci est transparent. aucun transport de matière n'est nécessaire pour se transfert d'énergie du corps le plus chaud au plus froid.

Isolation thermique le rayonnement

Dans un local, tout corps rayonne de la chaleur vers ceux qui sont à une température est plus basse. Le corps qui émet le rayonnement se refroidit, le corps qui reçoit le rayonnement se réchauffe.

Quantité de flux de chaleur transmis par rayonnement Φ (W).
Soit une paroi de S m² qui se trouve à une température T2.
Les autres parois de la pièce sont censées être à la température T1 de de l'air ambiant.
Si T1 > T2 les autres parois de la pièce rayonnent, à travers l'air, de la chaleur vers la surface considérée.
Le flux de chaleur transmis peut se quantifier
- proportionnellement à la surface S.
- proportionnellement à la différence de température T1 - T2.

ou
- Φ = est le flux de chaleur transmis (W/m²)
- ρ = est le coefficient de rayonnement (W/m².°C)
- T1 et T2 sont les températures de paroi(°C)
- S la surface de la paroi (m²)

ρ est le coefficient de proportionnalité, on l'appelle coefficient de rayonnent, il s'exprime en W/m².°C.
ρ dépend surtout de la surface S.
Quelques valeur de ρ
- Tôle = 0,9
- Fonte = 3,7
- Plâtre, bois, pierre = 4,2
- Verre = 3,5
- Brique , ciment = 4,7
- Corps humain = 4,0


Transmission de chaleur par les parois

Cas d'une paroi simple
La quantité de chaleur de flux transmis par la surface d'une paroi dont les faces sont à des températures différentesest égale à la totalité des flux émis par convection plus rayonnement.
Isolation thermique le rayonnement
ou
- Φ= est le flux de chaleur transmis (W/m²)
- α = est le coefficient de convection (W/m².°C)
- ρ = est le coefficient de rayonnement (W/m².°C)
- Ta est la température de l'air et des autre parois (°C)
- Tp est la température de paroi (°C)
- S la surface de la paroi (m²)

Pour simplification les coefficients Hi et He représentent (α + ρ) exprimé en W/m²°C

Coefficient global d'une paroi simple.
Isolation thermique transmission paroi simple
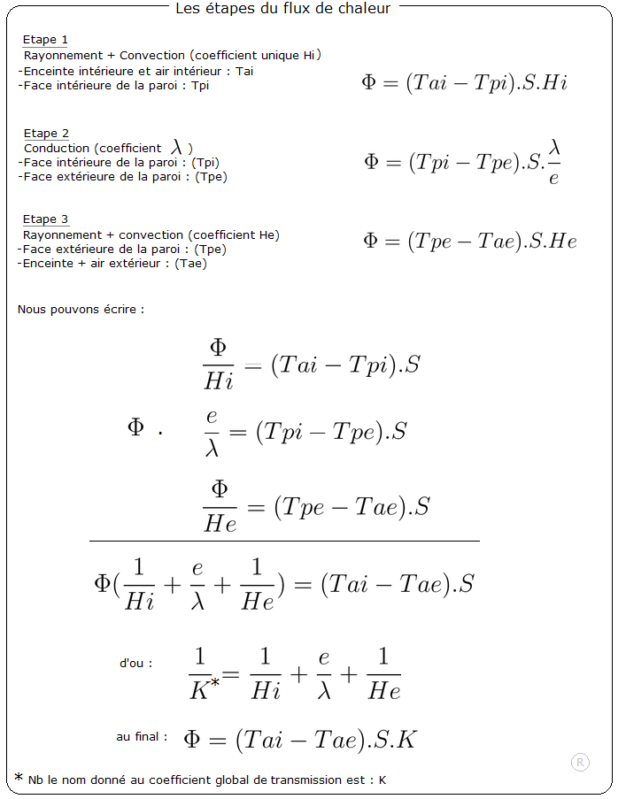
Exemple:
- Un premier coté d'une paroi d'épaisseur e constituée d'un matériau dont le coefficient de conductibilité est λ est en contact avec l'air ambiant et les autres parois intérieure à une température Tai.
- L'autre coté de la paroi est en contact avec l'air ambiant et les autres parois extérieure à une température Tae.

Si Tai > Tae le flux de chaleur passera de l'intérieur vers l'extérieure.

Après un laps de temps l'équilibre thermique s'établira,
- la face interne de la paroi se trouvera à une température : Tpi < Tai
- la face externe de la paroi se trouvera à une température : Tpe > Tae

Lorsque le régime est établi les températures Tai, Tpi, Tae,Tpe restent constantes.

Il n'y donc pas d'accumulation ni de perte de chaleur par la paroi, pour une surface donnée S (en m²), le flux de chaleur qui passera dans chacune des trois étapes suivantes sera égal à:

Isolation thermique étapes transmission flux paroi simple

Cas d'une paroi composée
Si la paroi est constituée de plusieurs matériaux différents il faut alors décomposer le calcul comme suit:

Isolation thermique étapes transmission flux paroi composée




Afin d'optimiser vos recherches sur Google utilisez les expressions (faites un copier coller)

Isolation thermique maison
Isolation thermique phonique
Isolation thermique plafond
Isolation thermique murs
Isolation thermique cloison
Isolation thermique intérieur
Isolation thermique extérieure
Isolation thermique plancher
Isolation ponts thermique
Isolation thermique porte
Isolation thermique fenêtre
Isolation thermique acoustique
Isolation thermique ventilation
Isolation thermique murale

Découvrez nos logiciels


Calambda Choix énergie Caldeau CapteSol SpeeDeperd ClimAperd Réseauxion RapidConso Aquaxion